Machine-learning-facilitated earthquake and anthropogenic source
Decreased vitamin B12 availability induces ER stress through 
Embedding a low-carbon interregional supply chain into a recovery 
SP3u2010FAIMS Chemoproteomics for Highu2010Coverage Profiling of the Human 
Understanding topic duration in Twitter learning communities using 
Proteome Profiler Human Angiogenesis Array Kit: R&D Systems
AIF-1/Iba1 Antibody (NBP2-16908): Novus Biologicals
Fishes Free Full-Text Description of the Annual Reproductive 
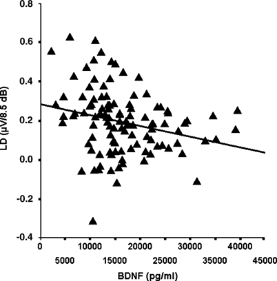
Association of BDNF Serum Concentrations with Central Serotonergic 
Colonial America Map Solid-Faced Canvas Print
Proteome Profiler Human Angiogenesis Array Kit: R&D Systems
1H nuclear magnetic resonance-based metabolite profiling of guava 
Tags:
archive